一、什么是色差公式?
在工业生产、质量检测及科研场景中,人眼对颜色差异的判断易受主观经验、光照条件影响,而色差公式是将这种主观颜色差异转化为客观量化数值的数学模型。它基于国际照明委员会(CIE)或行业组织定义的“颜色空间”(如CIE Lab、CIE Luv等),通过计算样品与标准样在明度(明暗程度)、彩度(颜色饱和度)、色调(颜色种类)三个核心维度的差异,最终输出代表颜色偏离程度的“色差数值”(通常用ΔE表示)。
色差公式的核心价值在于建立统一的颜色评价标准——无论是塑料成型、纺织染色还是涂料生产,不同人员、不同企业均可通过同一公式的ΔE值,客观判断产品颜色是否符合质量要求,避免主观判断导致的争议。

二、常见色差公式及核心区别
根据技术迭代与行业需求,目前主流色差公式可分为“基础通用型”“行业专用型”“高精度优化型”三类,各公式在结构设计、应用场景、计算逻辑上存在显著差异,具体如下:
1.基础通用型公式:适配多场景,结构简洁
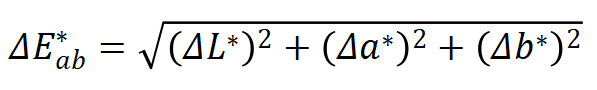
(1)dE*ab(CIE Lab)
l出现时间:1976年(CIE里程碑式公式,1976年为色差公式“成熟化分水岭”)
l核心结构:以L*(明度,0=黑、100=白)、a*(红绿色差,正红负绿)、b*(黄蓝色差,正黄负蓝)为直角坐标,色差公式为

l应用场景:全行业通用(色差仪标配公式),覆盖塑料、涂料、印刷、食品等领域。
l关键特点:视觉逻辑贴合人眼感知,无需复杂参数调整;计算简洁,对仪器硬件要求适中,兼顾基础精度与实用性,是行业应用广泛的“通用语言”。

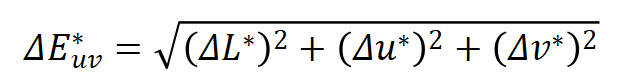
(2)dE*uv(CIE Luv)
l出现时间:1976年(基于CIE XYZ色彩空间变换而来)
l核心结构:基于CIE Luv颜色空间,以L*(明度)、u*(色品)、v*(色品)为维度,通过样品与标准样的L*、u*、v*差值平方和开方计算色差。 色差公式为

l应用场景:彩色摄影、电视领域(侧重光线波长对颜色感知的影响)。
l关键特点:对光线波长变化更敏感,适配“动态颜色呈现”场景,但在工业固体样品测量中通用性弱于dE*ab。
(3)dEab(Hunter lab)
l出现时间:1948年(早期经典公式,为CIE Lab公式奠定基础)
l核心结构:由亨特色空间(L_H明度、a_H红绿、b_H黄蓝)演变而来,公式为

需引入随照明体/观察者变化的常数因子(f_XA、f_YB、f_ZB)。
l应用场景:早期色度计常用,后因参数调整复杂,逐渐被CIE Lab公式替代。
l关键特点:是首个将“明度-色彩分离量化”的公式,但常数因子需根据场景频繁调整,通用性不足。
2.行业专用型公式:针对特定场景优化
dE*cmc(CMC (l:C))
l出现时间:1980年代(英国染色工作者学会SDC推荐,1995年成为ISO国际标准)
l核心结构:基于CIE Lab改进,引入明度权重因子l(调整明度对色差的影响)和彩度权重因子c(调整彩度对色差的影响),同时加入明度(S_L)、彩度(S_C)、色调(S_H)加权函数。 色差公式为

l应用场景:纺织行业(染料强度检测、白度/黄度测定、色牢度评级),典型参数取值为l:c=2:1。
l关键特点:可通过权重因子适配纺织行业“对明度差异更敏感”的需求,但仅针对纺织场景优化,跨行业适用性弱。
3.高精度优化型公式:提升视觉一致性
(1)dE*94(CIE 94)
l出现时间:1994年(CIE推荐,罗切斯特理工学院基于油漆样品视觉实验改进)
l核心结构:基于CIE Lab,保留S_L、S_C、S_H加权函数,引入参数因子k_L、k_C、k_H(默认均为1),并定义S_C=1+0.045C*_ab、S_H=1+0.015C*_ab(C*_ab为彩度值) ,色差公式为

l应用场景:工业领域(塑料、涂料、印刷,尤其适合高光泽样品)。
l关键特点:相比CIE Lab,通过加权函数优化了高彩度样品的色差判断,但对中性灰色、蓝色区域的偏差仍较明显。
(2) dE*00(CIE 2000)
l出现时间:2000年(CIE技术委员会TC1-47推荐,当前高精度工业标准)
l核心结构:基于CIE Lab,保留加权函数,新增“彩度-色调交叉项”(优化蓝色区域)与“中性灰色修正项”(优化灰色样品),计算需经历颜色空间转换(a'、C'、h'推导)、差值计算(ΔL'、ΔC'、ΔH')、最终合成四步。 核心公式为

l应用场景:高精度工业检测(电子外壳、汽车涂装、高端印刷,需细微色差判断的场景)。
l关键特点:视觉一致性优异(实验数据显示与人工评价匹配度高),但计算复杂度高,对仪器硬件精度要求更高。
(3)dE*ch(CIE Lab衍生公式)
l出现时间:20世纪80年代(基于dE*ab衍生,侧重“彩度-色调”维度的精准量化)
l核心结构:沿用dE*ab的L(明度)维度,将a*、b*二维色品轴转换为“彩度-色调”极坐标维度,更直观反映颜色饱和度与种类差异:核心维度转换:C*(彩度,颜色饱和度)
;H*(色调,颜色种类)
(需通过三角函数修正象限偏差);色差公式为

l应用场景:涂料、印刷、塑料等需要重点关注“颜色饱和度”“色调纯度”的领域(如品牌logo颜色一致性检测、高端包装色调控制)。
l关键特点:能直观定位色差来源——反映“颜色偏淡/偏浓”,反映“颜色种类偏移”(如红色偏橙、蓝色偏紫),比dE*ab更易解读色差本质;但明度差异的量化逻辑与dE*ab一致,无额外优势。
三、为何dE*ab(CIE Lab)成为常用色差公式?
dE*ab能成为全行业“通用基准”,核心源于其“平衡适配性”——在视觉逻辑、场景覆盖、操作成本间达成平衡,具体原因如下:
1.视觉均匀性与认知逻辑匹配
dE*ab的L*(明度)、a*(红绿)、b*(黄蓝)三维结构,贴合人眼对颜色的感知习惯:L的0-100范围直观反映“明暗”,a、b的正负值清晰区分“色彩偏向”,无需专业知识即可理解色差来源(如Δa为正,说明样品比标准样更红)。相比dE*00的复杂转换项,dE*ab的视觉映射更直接,降低了人员学习成本。
2.全行业通用性强
不同于dE*cmc(纺织)、dE*uv(摄影)的场景局限,dE*ab可覆盖塑料、涂料、食品、印刷、电子等几乎所有需要颜色检测的领域。例如:塑料行业用其判断注塑件批次差异,食品行业用其检测果汁颜色稳定性,仪器厂商均将其作为“默认公式”,确保跨企业、跨领域的检测数据可比。
3.兼容性与技术延续性强
后续主流公式(如dE*cmc、dE*94、 dE*00)均以CIE Lab颜色空间为基础改进,dE*ab的L*、a*、b*数据可直接作为这些高精度公式的计算输入,无需重新采集样品信息。同时,行业内已积累数十年基于dE*ab的标准数据库(如色卡、合格阈值),便于质量追溯与标准统一。
4.计算成本与精度平衡
dE*ab的公式结构简单(仅需计算差值平方和开方),对仪器的光学系统、数据处理器要求较低,既能满足多数场景的精度需求,又避免了dE*00因复杂计算导致的效率降低,兼顾“精度”与“实用性”。
四、DS64卧式分光测色仪的核心优势
DS64卧式分光测色仪以“适配多场景、保障高精度”为核心设计,具备多维度实用特性:可兼容dE*ab、dE*94、dE*00、dE*cmc等主流色差公式,满足纺织、塑料、涂料等不同行业的标准切换需求;卧式结构设计能适配较大尺寸(如板材、织物卷料)或不规则形状(如曲面零件)样品,减少立式放置导致的定位偏差,提升测量稳定性;搭载高精度光学系统,可精准采集样品颜色数值,检测精度达0.01;支持多标准照明体与观察者角度切换,模拟不同使用环境;具备数据存储与接口导出功能,适配工业连续质控场景。
五、测量方法与步骤
1. 准备仪器与样品:将待检测样品放在平整表面,确保测量区域干净、无污渍、无划痕,短按电源键开机,确保仪器状态良好。

2. 仪器校准:
l白校准:点击界面“设置”-“校准”,根据提示将仪器放入校准盒内,将测试口对准白校准板后点击背面测量按键进行白校准。
l黑校准:将仪器从校准盒中取出,按照提示把仪器测试口对准黑腔,短按测量键即可完成黑校准。



3. 参数选择:根据用户需求选择测量参数,如显示参数、色差公式(默认dE*ab,可根据行业需求切换为dE*94、dE*cmc等)、角度、光源等。




4. 测量标样:点击测色,将定位孔贴合被测样品表面进行按压测量,即可获得标样数据。

5. 测量试样:点击T图标切换到测色差的界面,将定位孔贴合第二个样品表面进行按压测量,即可得到色差值。

6. 数据分析:测量完成后,可直接在设备上查看测量结果,仪器根据选定公式自动计算ΔE值(总色差)及ΔL*(明度差异)、Δa*(红绿色差)、Δb*(黄蓝色差);也可以查看光谱曲线等,还可通过USB连接电脑测量,使用PC软件进行趋势分析或生成报告并打印数据。


详细步骤请查看“DS64卧式分光测色仪操作视频”
六、总结
色差公式是实现颜色客观评价的核心工具,从早期dEab(Hunter lab)到高精度dE*00 ,其发展始终围绕“更贴合人眼视觉、更适配行业需求”迭代,而dE*ab因兼顾通用性、易用性与兼容性,成为当前应用较为广泛的基准公式。DS64卧式分光测色仪通过兼容多公式、适配多样品、保障高精度、支持数据化管理的特性,既解决了不同行业的色差测量需求,又为工业生产中的颜色质量控制提供了高效、可靠的工具,助力企业减少主观判断误差,提升产品颜色一致性。